Home > Overview > Key Findings > Key Outcomes > GCE IV - Wetland Disturbance

GCE IV - Key Finding in 2023

    Studying coastal wetland disturbance

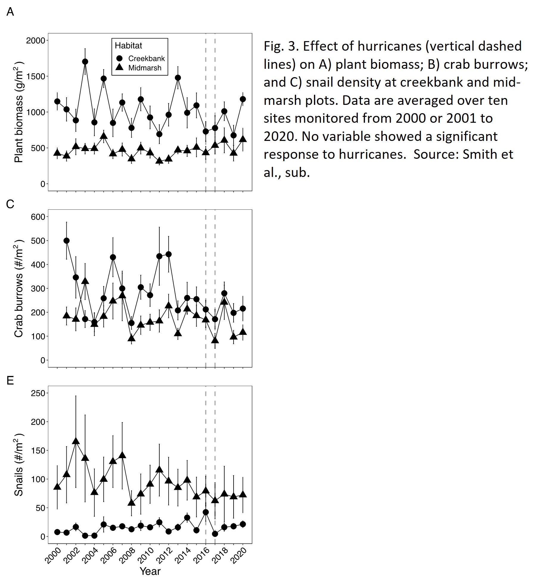
    The long-term effect of a disturbance is a function of an ecosystem’s resistance (with a highly resistant system showing little or no effect after a disturbance) and resilience (a measure of how quickly a system recovers after it is affected). Measuring resistance and resilience is relatively easy to do in a comprehensive way for local disturbances (such as wrack disturbance) using manipulative experiments. However, it is difficult for regional disturbances, because replication is usually lacking, and what variables are measured is often haphazard since droughts and hurricanes are not pre-planned experiments. Smith et al (in revision) used 20 years of GCE long-term data to overcome these design challenges when studying a major regional disturbance (hurricanes). They analyzed impacts of two hurricanes that affected the GA coast—Matthew (2016) and Irma (2017)—on multiple response variables, including marsh biota (plants, crabs, and snails) and physical attributes (erosion, wrack deposition, and sedimentation). They compared these variables at ten replicate sites prior to the storms (2000-2015) to years with storms (2016, 2017) and to years after the storms (2018-2020). Although both hurricanes created storm surges and altered salinity regimes, the biota showed little change (Fig. 3), indicating high resistance to hurricane disturbance of the magnitude that typically confronts this region of coastline. To communicate the latest understanding of disturbance in coastal wetlands, GCE scientists co-organized and spoke in a “distributed graduate course” in spring 2023. The course, which was taught live on the internet, was offered for credit at multiple institutions around the country and reached ~135 participants. Topics covered included disturbance theory, wrack disturbance, sediment deposition, herbivore disturbance, headward-eroding creeks, creekbank slumping, marsh dieback, ice erosion and rafting, hurricane disturbance and freezing.

    2023_Accomplishments_Fig3

    Fig. 3 Effect of hurricanes (vertical dashed lines) on A) plant biomass; B) crab burrows; and C) snail density at creekbank and mid-marsh plots. Data are averaged over ten sites monitored from 2000 or 2001 to 2020. No variable showed a significant response to hurricanes. Source: Smith et al., sub.



LTER
NSF

This material is based upon work supported by the National Science Foundation under grants OCE-9982133, OCE-0620959, OCE-1237140, OCE-1832178 and OCE-2425396. Any opinions, findings, conclusions, or recommendations expressed in the material are those of the author(s) and do not necessarily reflect the views of the National Science Foundation.